Multiple Logistic Regression

Selection + Transformations

Prof. Eric Friedlander

Dec 02, 2024

Announcements

Topics

  • Investigating interaction terms in logistic regression models

  • Comparing logistic regression models

  • Choosing logistic regression models

  • Transformations in logistic regression

Computational setup

# load packages
library(tidyverse)
library(broom)
library(openintro)
library(knitr)
library(kableExtra)  # for table embellishments
library(Stat2Data)   # for empirical logit

# set default theme and larger font size for ggplot2
ggplot2::theme_set(ggplot2::theme_bw(base_size = 20))

Data

Risk of coronary heart disease

This data set is from an ongoing cardiovascular study on residents of the town of Framingham, Massachusetts. We want to examine the relationship between various health characteristics and the risk of having heart disease.

  • TenYearCHD:

    • 1: Developed heart disease in next 10 years
    • 0: Did not develop heart disease in next 10 years
  • age: Age at exam time (in years)

  • education: 1 = Some High School, 2 = High School or GED, 3 = Some College or Vocational School, 4 = College

Data prep

heart_disease <- read_csv("data/framingham.csv") |>
  select(TenYearCHD, age, education, male, diaBP) |>
  drop_na() |> 
  mutate(education = as.factor(education),
         male = as.factor(male))
         

heart_disease |> head() |> kable()
TenYearCHD age education male diaBP
0 39 4 1 70
0 46 2 0 81
0 48 1 1 80
1 61 3 0 95
0 46 3 0 84
0 43 2 0 110

Interaction Terms

Interactions

Intuitively: There is an interaction between two variables when the influence of one variables on the log-odds depends on what the value of the other variable is.

Complete Exercise 1.

countdown::countdown(minutes = 1, seconds=30)
01:30

Recall: Empirical Logit Plot

emplogitplot1(TenYearCHD ~ age, data = heart_disease,
              ngroups = 10)

How do we interpret this?

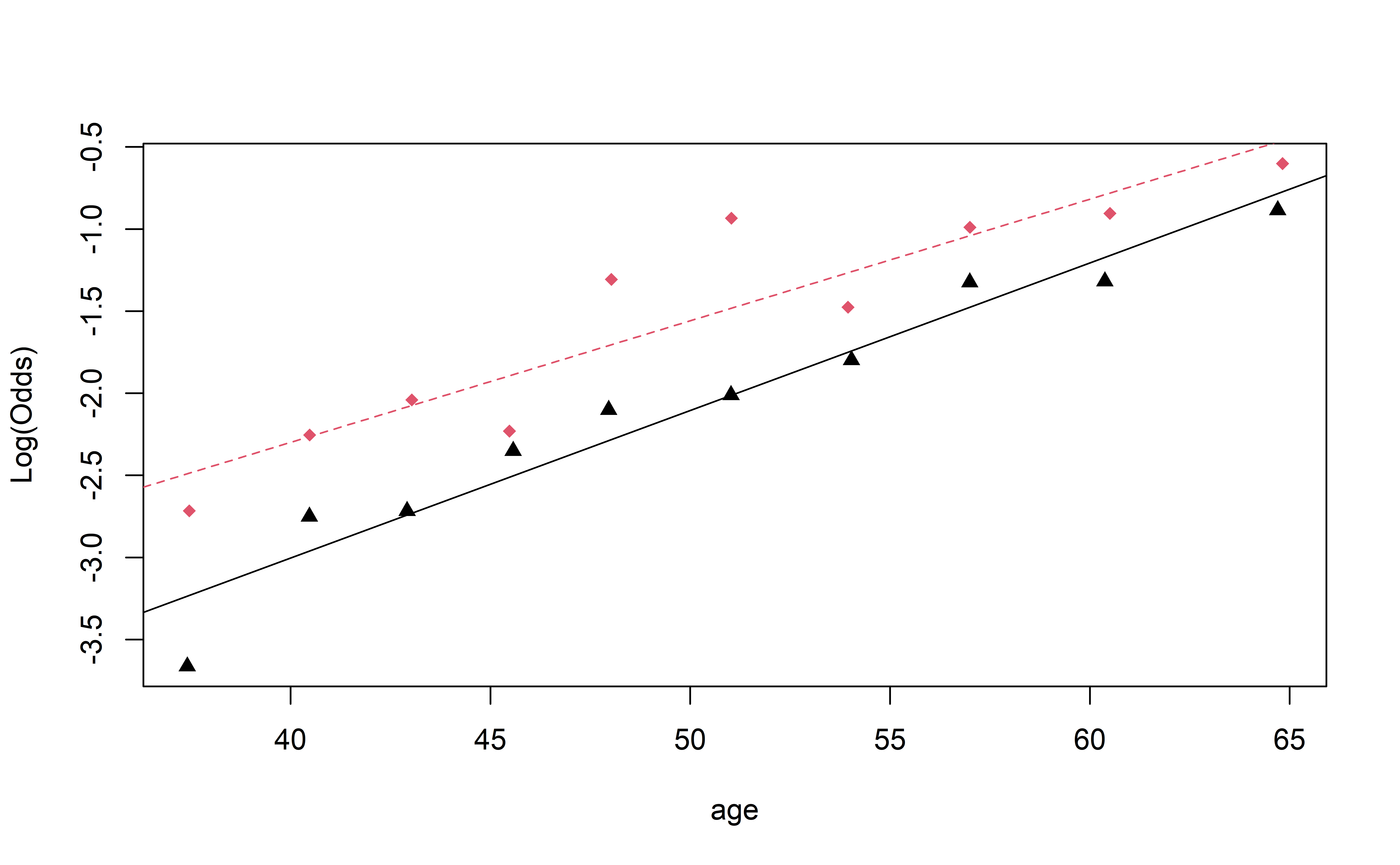
Visualizing Interactions (Quant vs. Cat)

emplogitplot2(TenYearCHD ~ age + male, data = heart_disease,
              ngroups = 10)

Complete Exercise 2.

Visualizing Interactions (Quant vs. Cat)

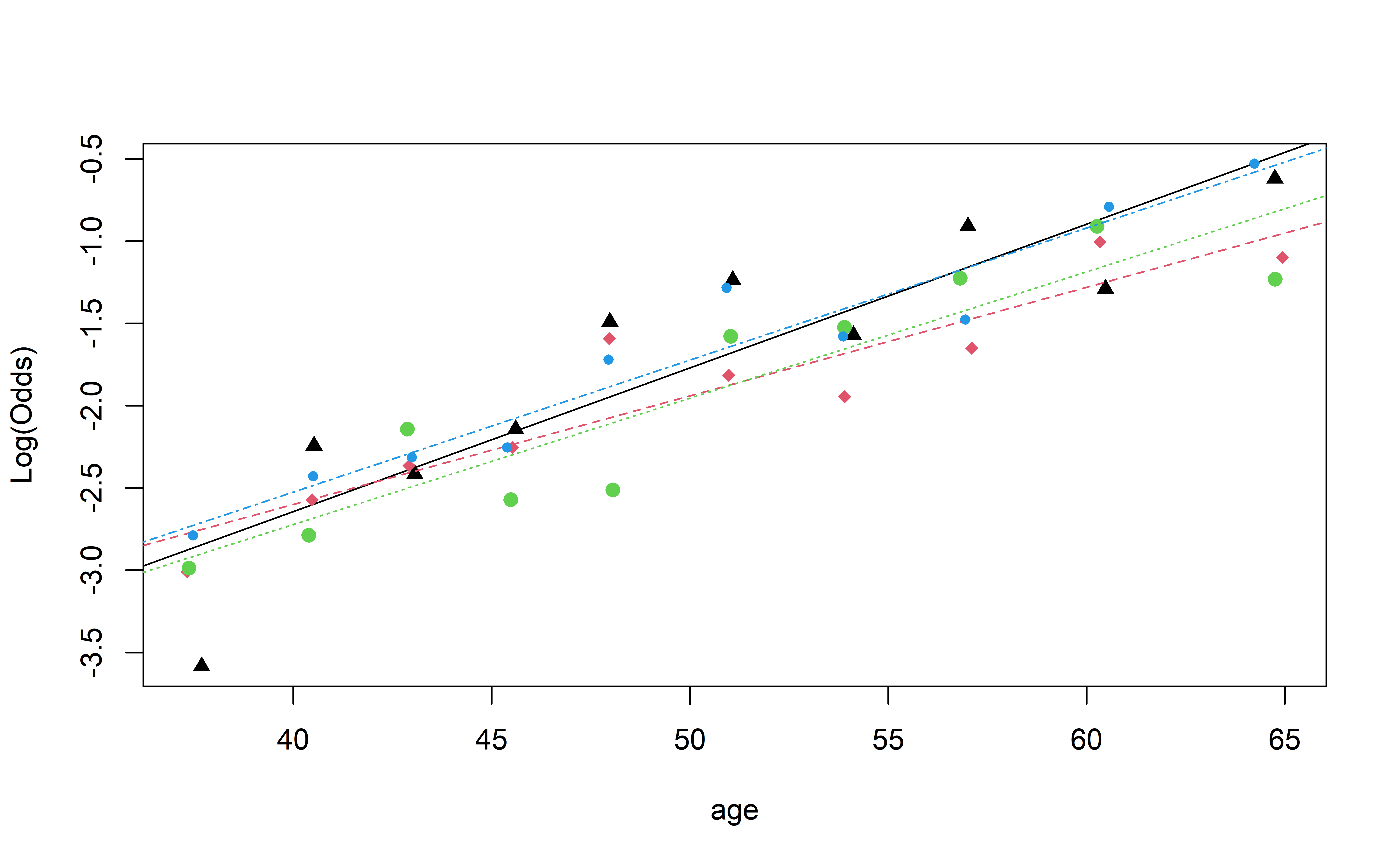
emplogitplot2(TenYearCHD ~ age + education, data = heart_disease,
              ngroups = 10)

Based on this plot, do you think there is an interaction between age and education?

Models with Interaction

Code
age_male_interaction_model <- glm(TenYearCHD ~ age + male + age*male, 
                  data = heart_disease, family = "binomial")

age_male_interaction_model |> tidy() |> kable(digits = 3)
term estimate std.error statistic p.value
(Intercept) -6.358 0.428 -14.865 0.000
age 0.085 0.008 10.883 0.000
male1 1.308 0.583 2.245 0.025
age:male1 -0.014 0.011 -1.342 0.180

Models with Interaction

Two model’s in one!

  • Non-male’s: \[\log\left(\frac{\hat{p}}{1-\hat{p}}\right) = -6.358 +0.085\times\text{age}\]
  • Male’s: \[ \begin{aligned} \log\left(\frac{\hat{p}}{1-\hat{p}}\right) &= (-6.358+1.308) +(0.085-0.015)\times\text{age}\\ &= -5.05 +0.070\times\text{age} \end{aligned} \]

Complete Exercises 3 and 4.

Model selection

AIC or BIC for model selection

\[ \begin{align} &AIC = - 2 * \log L - {\color{purple}n\log(n)}+ 2(p +1)\\[5pt] &BIC =- 2 * \log L - {\color{purple}n\log(n)} + \log(n)\times(p+1) \end{align} \]

AIC from the glance() function

Let’s look at the AIC for model we fit earlier

glance(age_male_interaction_model)$AIC
[1] 3277.159

Calculating AIC

- 2 * glance(age_male_interaction_model)$logLik + 2 * (3+1)
[1] 3277.159

Comparing the models using AIC

Let’s compare a few models:

age_model <- glm(TenYearCHD ~ age, data = heart_disease, family = "binomial")
age_male_model <- glm(TenYearCHD ~ age+male, data = heart_disease, family = "binomial") 
age_education_model <-  glm(TenYearCHD ~ age+education, data = heart_disease, family = "binomial")
age_male_education_model <-  glm(TenYearCHD ~ age+ male + education, data = heart_disease, family = "binomial")
age_education_interaction_model <-  glm(TenYearCHD ~ age + education + age* education, data = heart_disease, family = "binomial")
all_interaction_model <-  glm(TenYearCHD ~ (age + education + male)^2, data = heart_disease, family = "binomial")

Comparing the models using AIC

Let’s compare a few models:

aics <- c(glance(age_model)$AIC,
glance(age_male_model)$AIC,
glance(age_male_interaction_model)$AIC,
glance(age_education_model)$AIC,
glance(age_male_education_model)$AIC,
glance(age_education_interaction_model)$AIC,
glance(all_interaction_model)$AIC)

aics
[1] 3310.680 3276.964 3277.159 3310.135 3279.342 3314.815 3285.196


Based on AIC, which model would you choose? Raise you hand if your AIC is better.

which.min(aics)
[1] 2

Comparing the models using BIC

Let’s compare the models using BIC

bics <- c(glance(age_model)$BIC,
glance(age_male_model)$BIC,
glance(age_male_interaction_model)$BIC,
glance(age_education_model)$BIC,
glance(age_male_education_model)$BIC,
glance(age_education_interaction_model)$BIC,
glance(all_interaction_model)$BIC)

bics
[1] 3323.334 3295.945 3302.468 3341.772 3317.305 3365.433 3367.450


Based on BIC, which model would you choose? Raise your hand if your BIC is better.

which.min(bics)
[1] 2

Choosing a Logistic Regression Model

  • Forward/Backward/Stepwise selection all work in the same way
  • Can string together a sequence of Likelihood Ratio Tests (but only a few)

Transformations

Power Family of Transformation

  • Many departures from linearity can be solved with power transformations (e.g. \(X^{power}\))

    • For technical reasons, \(power = 0\) corresponds to \(\log\)
  • Look at empirical log-odds plot

  • Concave down pattern \(\Rightarrow\) transform down (i.e. \(power < 1\))

    • \(\log\) is typically a good first choice
  • Concave up pattern \(\Rightarrow\) transform up (i.e. \(power > 1\))

Empirical Log-Odds Plot

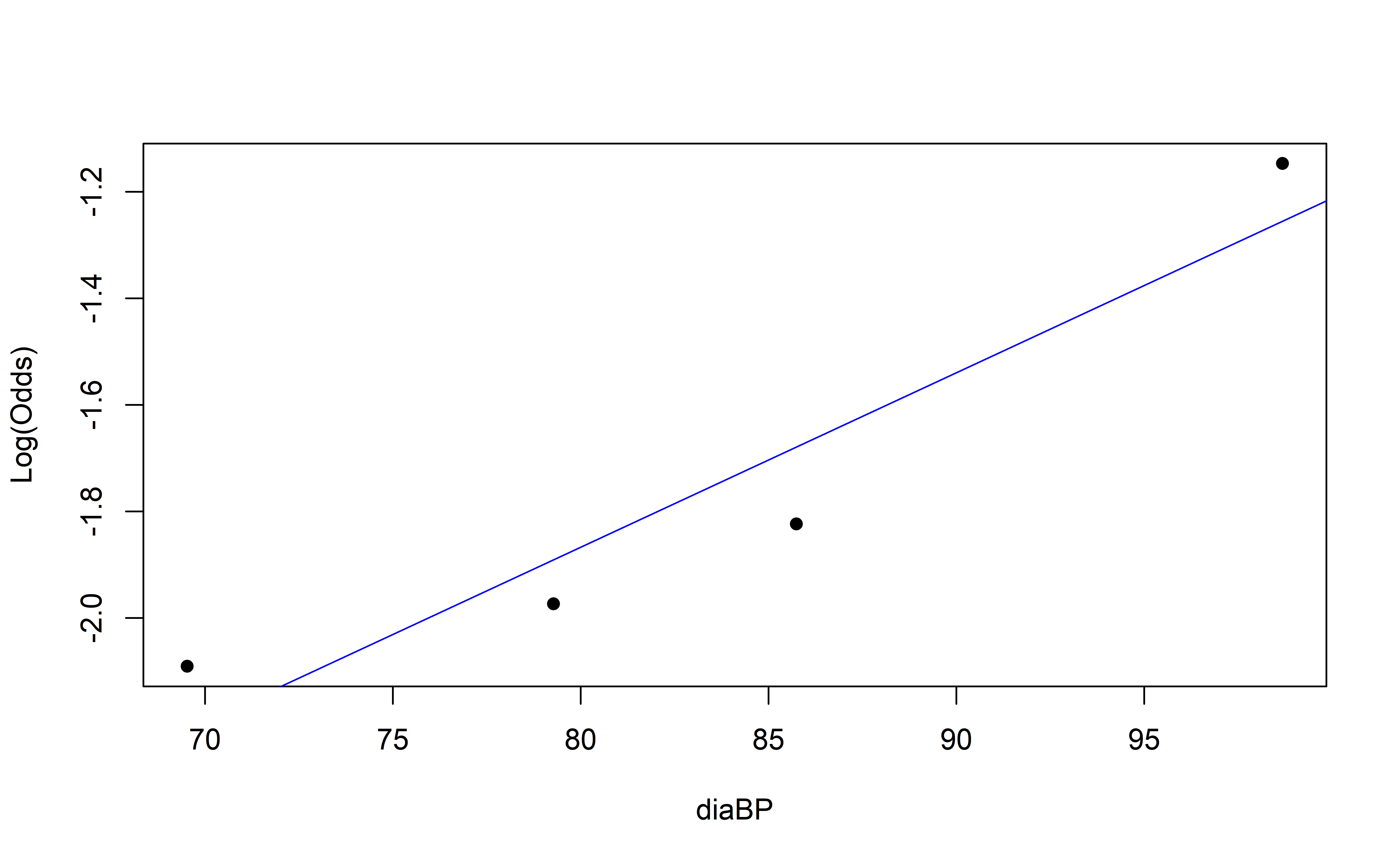
emplogitplot1(TenYearCHD ~ diaBP, data = heart_disease, ngroups = 4)

Empirical Log-Odds Plot

emplogitplot1(TenYearCHD ~ diaBP, data = heart_disease, ngroups = 4)

Concave up or down?

Empirical Log-Odds Plot

heart_disease <- heart_disease |> mutate(diaBP_transformed = diaBP^2)
emplogitplot1(TenYearCHD ~ diaBP_transformed, data = heart_disease, ngroups = 4)

Empirical Log-Odds Plot

heart_disease <- heart_disease |> mutate(diaBP_transformed = diaBP^10)
emplogitplot1(TenYearCHD ~ diaBP_transformed, data = heart_disease, ngroups = 4)

Empirical Log-Odds Plot

heart_disease <- heart_disease |> mutate(diaBP_transformed = diaBP^6)
emplogitplot1(TenYearCHD ~ diaBP_transformed, data = heart_disease, ngroups = 4)

Recap

  • Interaction terms in logistic regression models

    • For quantitative-categorical, creates nested models
  • Comparing logistic regression models

    • AIC/BIC
  • Choosing logistic regression models

    • Same selection techniques as linear regression
  • Transformations in logistic regression

    • Can only transform \(X\)

    • Concave [up/down] \(\Rightarrow\) power-transform [up/down]